首页
机构设置
组织机构
岗位职责
党风廉政
支部工作
党纪党规
工作动态
服务指南
服务承诺
业务审签
业务流程
疑难解答
政策法规
国家政策法规
省厅文件规定
学校规章制度
财经资讯
收费公示
咨询问答
咨询问答
疑难解答
信息公告
下载专区
学校主页
学校主页
公共信息服务平台
首页
机构设置
组织机构
岗位职责
党风廉政
支部工作
党纪党规
工作动态
服务指南
服务承诺
业务审签
业务流程
疑难解答
政策法规
国家政策法规
省厅文件规定
学校规章制度
财经资讯
收费公示
咨询问答
咨询问答
疑难解答
信息公告
下载专区
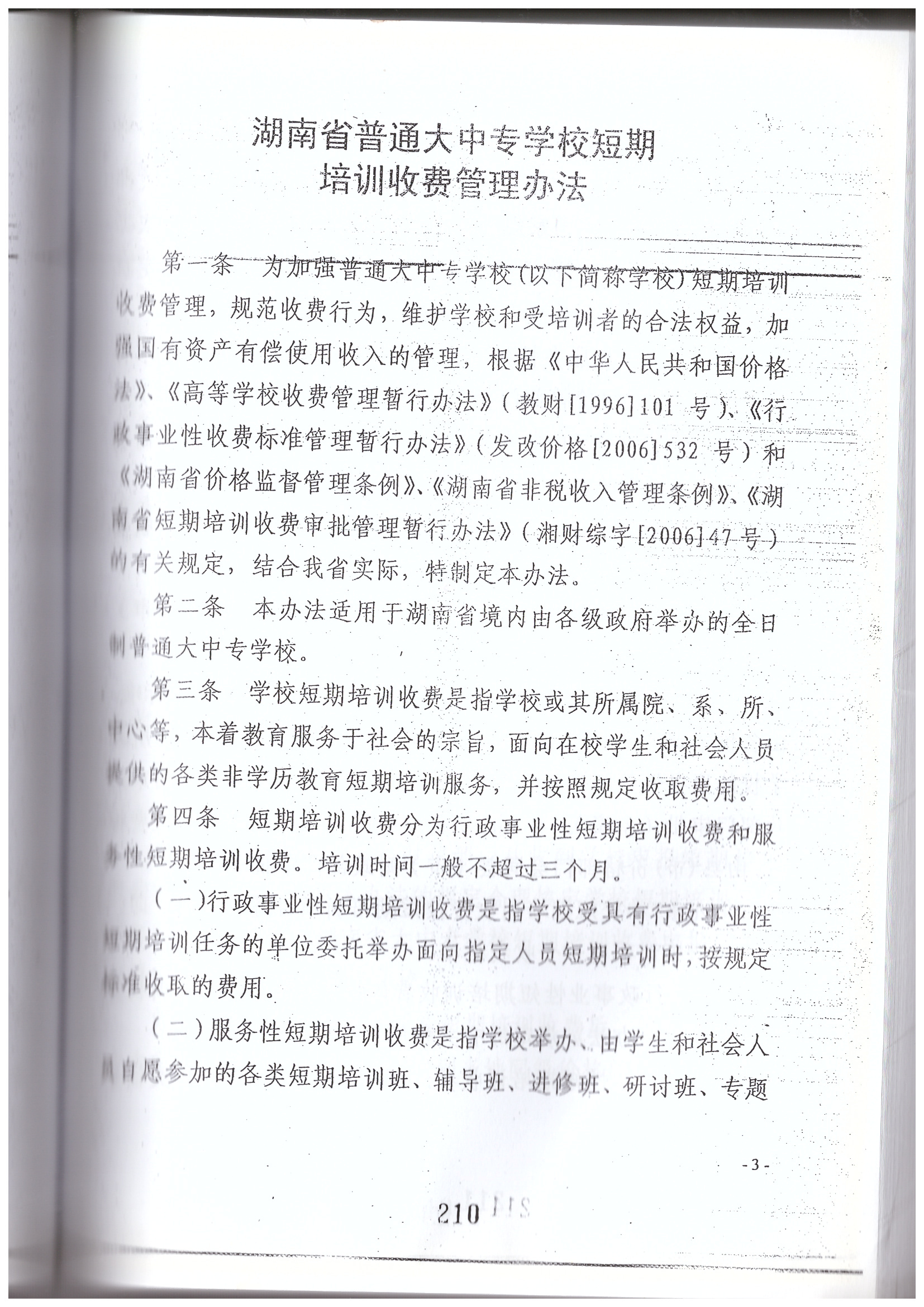
湖南省物价局、湖南省财政厅关于印发《湖南省普通大中专学校短期培训收费管理办法》的通知
|
日期:2021-03-25
|
访问量: